Presión de un aerosol puesto en el fuego (4510)

, por F_y_Q

Es peligroso que los envases de aerosoles se expongan al calor. Si una lata de fijador para el cabello, a una presión de 4 atmósferas y a una temperatura ambiente de 27^oC, se arroja al fuego y el envase alcanza los 402^oC. ¿Cuál será su nueva presión? La lata puede explotar si la presión interna alcanza los 6 080 mm Hg, ¿crees que explotará el envase?

P.-S.

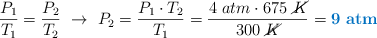
Aplicas la ley de Gay-Lussac de los gases. Es importante recordar que las temperaturas han de estar expresadas en kelvin:

\frac{P_1}{T_1} = \frac{P_2}{T_2}\ \to\ P_2 = \frac{P_1\cdot T_2}{T_1} = \frac{4\ atm\cdot 675\ \cancel{K}}{300\ \cancel{K}} = \color[RGB]{0,112,192}{\bf 9\ atm}

Para saber si habrá explosión basta con convertir la presión obtenida a mm Hg y comparar:

9\ \cancel{atm}\cdot \frac{760\ mm\ Hg}{1\ \cancel{atm}} = \fbox{\color[RGB]{192,0,0}{\bf 6\ 840\ mm\ Hg}}


Es muy probable que el bote explote porque supera apreciablemente el valor máximo de presión.