Preparar una disolución en m/V a partir de otra de molaridad conocida (7378)

, por F_y_Q

¿Cómo prepararías 100 mL de una solución de \ce{NaOH} al 5\%\ (m/V) , partiendo de una solución madre con una concentración 5 M?

Masas atómicas: Na = 23 ; O = 16 ; H = 1.

P.-S.

Debes empezar el problema calculando qué masa de soluto (\ce{NaOH}) necesitas para hacer tu disolución. El dato de concentración de la disolución que quieres preparar te indica que necesitas 5 g de soluto por cada 100 mL de disolución, que es el volumen que vas a preparar. Eso quiere decir que necesitas solo 5 g de \ce{NaOH} .

La concentración de la disolución de la que debes tomar el soluto está expresada en molaridad. Calculas la masa molar del \ce{NaOH}:

M_{\ce{NaOH}} = 23\cdot 1 + 16\cdot 1 + 1\cdot 1 = \color[RGB]{0,112,192}{\bm{40\ \frac{g}{mol}}}

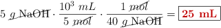
Usas este dato para saber el volumen de disolución madre que contiene los 5 g que necesitas:

5\ \cancel{g\ \ce{NaOH}}\cdot \frac{10^3\ mL}{5\ \cancel{mol}}\cdot \frac{1\ \cancel{mol}}{40\ \cancel{g\ \ce{NaOH}}} = \fbox{\color[RGB]{192,0,0}{\bf 25\ mL}}


Bastaría con poner un poco de agua en un matraz aforado de 100 mL y tomar 25 mL de la disolución madre para verterlos sobre el agua. Luego enrasas usando agua hasta el aforo del matraz y ya tienes preparada la disolución que necesitas.