Preparar una disolución de acético 0.1 M a partir de disolución comercial (4836)

, por F_y_Q

Las especificaciones de la etiqueta de un frasco de ácido acético comercial son las siguientes: densidad 1.2 g/mL, riqueza 40 \ \% en peso. Calcula qué volumen de dicho ácido hay que tomar para preparar un litro de disolución 0.1 M.

Datos: C = 12 ; O = 16 ; H = 1.

P.-S.

En primer lugar, calculas la masa de ácido acético que necesitas para poder hacer la disolución y luego haces el cálculo del volumen de disolución comercial que debes tomar para que contenga la masa calculada de reactivo puro.

La fórmula molecular del ácido acético \ce{C2H4O2}. Su masa molecular es:

M_{\ce{C2H4O2}} = 2\cdot 12 + 4\cdot 1 + 2\cdot 16 = \color[RGB]{0,112,192}{\bm{60\ \frac{g}{mol}}}

Para hacer un litro de disolución 0.1 M necesitas precisamente 0.1 mol de ácido. Calculas a qué masa equivale:

0.1\ \cancel{\text{mol}}\ \ce{C2H4O2}\cdot \frac{60\ g}{1\ \cancel{\text{mol}}} = \color[RGB]{0,112,192}{\textbf{6 g \ce{C2H4O2}}}

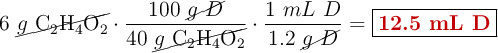
Una vez que sabes qué masa de ácido necesitas, puedes calcular el volumen de disolución necesario. Puedes usar factores de conversión para hacer el cálculo, aunque fíjate en cómo usar los datos del enunciado en forma de factores de conversión:

6\ \cancel{g\ \ce{C_2H_4O_2}}\cdot \frac{100\ \cancel{g\ D}}{40\ \cancel{g\ \ce{C_2H_4O_2}}}\cdot \frac{1\ mL\ D}{1.2\ \cancel{g\ D}} = \fbox{\color[RGB]{192,0,0}{\textbf{12.5 mL D}}}