Preparación de una disolución diluida de ácido y posterior neutralización (6581)

, por F_y_Q

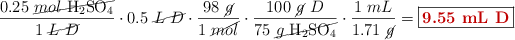
a) Se dispone en el laboratorio de una disolución de \ce{H_2SO4} concentrado del 78.5\% en riqueza y 1.71\ \textstyle{g\over mL} de densidad. Calcula el volumen de esta disolución necesario para preparar medio litro de una disolución diluida de concentración 0.250 M.

b) Este ácido se utilizó para valorar 0.420 g de una mezcla de \ce{KOH} y \ce{NaOH} que, una vez disuelta en agua, reaccionó con 17.40 mL del ácido sulfúrico 0.250 M. Calcula la composición de la mezcla en gramos.

P.-S.

a) Este apartado se puede hacer en un único paso si tienes claro cómo aplicar los factores de conversión. Como quieres solo medio litro de disolución:

\frac{0.25\ \cancel{mol\ \ce{H2SO4}}}{1\ \cancel{L\ D}}\cdot 0.5\ \cancel{L\ D}\cdot \frac{98\ \cancel{g}}{1\ \cancel{mol}}\cdot \frac{100\ \cancel{g}\ D}{75\ \cancel{g\ \ce{H2SO4}}}\cdot \frac{1\ mL}{1.71\ \cancel{g}} = \fbox{\color[RGB]{192,0,0}{\bf 9.55\ mL\ D}}


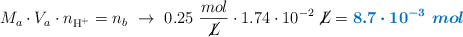
El producto del volumen de ácido por la molaridad de la disolución y el número de protones del ácido es igual a los moles de \ce{OH-} que reaccionan:

M_a\cdot V_a\cdot n_{\ce{H+}} = n_b\ \to\ 0.25\ \frac{mol}{\cancel{L}}\cdot 1.74\cdot 10^{-2}\ \cancel{L} = \color[RGB]{0,112,192}{\bm{8.7\cdot 10^{-3}\ mol}}

Esos moles son de la mezcla de las dos bases. Si llamas x a la masa de \ce{KOH} y 0.42 - x a la masa de \ce{NaOH}, puedes convertirlos en masa a través de sus masas moleculares:

\frac{x}{56} + \frac{0.42 - x}{40} = 8.7\cdot 10^{-3}\ \to\ 40x + 23.52 - 56x = 19.49\ \to\ \color[RGB]{2,112,20}{\bf x = 0.252\ g}

La composición en masa es:

\frac{0.252\ \cancel{g}}{0.42\ \cancel{g}}\cdot 100 = \fbox{\color[RGB]{192,0,0}{\bf 60\%\ \ce{KOH}}}


(100 - 60) = \fbox{\color[RGB]{192,0,0}{\bf 40\%\ \ce{NaOH}}}