P.-S.
1) Disolución 0,1 N. Necesitamos 0,1 equivalentes para un litro de disolución, que es lo que significa la normalidad. Como sólo queremos preparar 100 mL, que son 0,1 L, necesitaremos 0,01 equivalentes de
. La masa de un equivalente químico es la masa molecular pero dividida por el número de hidrógenos del ácido (en el caso de ácidos). En nuestro caso será: 98/2 = 49 g/equiv. Ya sólo nos queda hacer el cálculo de la masa que necesitamos para nuestra disolución:

Pero, ¿cómo puedo saber qué cantidad de disolución inicial contiene esa cantidad? Nuestra disolución inicial contiene 83 g de

por cada 100 g de disolución que tome:

Necesitaré sólo esa cantidad de disolución inicial para que contenga los 0,49 g de

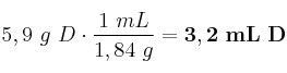
. Como sabemos la densidad de la disolución inicial, podemos determinar qué volumen se corresponde con los 0,59 g:

2)
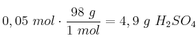
Disolución 0,5 M. Ahora vamos a ir más al grano para no repetir algunas de las explicaciones. Necesitamos 0,05 M de

y, teniendo en cuenta que la masa molecular es 98 g/mol, serán:

Para saber qué cantidad de disolución inicial contiene esa cantidad de

:

El volumen necesario será:

c)
Disolución al 3%. Ahora necesitamos que nuestra disolución contenga 3 g de

por cada 100 g de disolución que preparemos. Bastará con saber qué masa de disolución inicial contiene los 3 g de

y luego añadir agua hasta completar los 100 g de disolución.

Si añadimos (100 - 3,6) =
96,4 g de agua a esta cantidad de disolución inicial, tendremos la disolución que necesitamos.