Potencia que desarrolla un móvil que varía su velocidad en un tiempo dado

, por F_y_Q

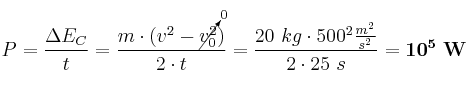
Un móvil parte del reposo y al cabo de 25 s alcanza una velocidad de 500\ \textstyle{m\over s}. Si la masa del móvil es de 20 kg, calcula la potencia que realizó.

P.-S.

La potencia es el cociente entre el trabajo que realiza el motor del móvil y el tiempo durante el que realiza ese trabajo. El trabajo realizado, en ausencia de fuerzas no conservativas, es igual a la variación de la energía cinética:

P = \frac{\Delta E_C}{t} = \frac{m\cdot (v^2 - \cancelto{0}{v_0^2})}{2\cdot t} = \frac{20\ kg\cdot 500^2\frac{m^2}{s^2}}{2\cdot 25\ s} = \bf 10^5\ W