Potencia que desarrolla el motor de un coche para acelerar (5130)

, por F_y_Q

El motor de un coche de 1 000 kg de masa es capaz de comunicarle una velocidad de 108 km/h en 15 s partiendo del reposo. Despreciando el rozamiento, determina la potencia desarrollada por el motor.

P.-S.

En primer lugar, debes hacer la conversión de la unidad de velocidad para que el ejercicio sea homogéneo:

108\ \frac{\cancel{km}}{\cancel{h}}\cdot \frac{10^3\ m}{1\ \cancel{km}}\cdot \frac{1\ \cancel{h}}{3.6\cdot 10^3\ s}= \color[RGB]{0,112,192}{\bm{30\ \frac{m}{s}}}

Puedes escribir la potencia del motor en función de la fuerza que desarrolla y la velocidad que alcanza:

\color[RGB]{2,112,20}{\bf P = F\cdot v}

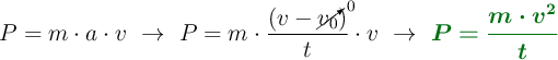
Como la fuerza es el producto de la masa por la aceleración del coche, quedará como:

P = m\cdot a\cdot v\ \to\ P = m\cdot \frac{(v - \cancelto{0}{v_0})}{t}\cdot v\ \to\ \color[RGB]{2,112,20}{\bm{P = \frac{m\cdot v^2}{t}}}

Sustituyes y resuelves:

P = \frac{10^3\ kg\cdot 30^2\ \frac{m^2}{s^2}}{15\ s} = \fbox{\color[RGB]{192,0,0}{\bm{6\cdot 10^4\ W}}}