Posición y altura de una imagen con una lente de potencia positiva (7598)

, por F_y_Q

La potencia de una lente es de 3 dioptrías.

a) Si a 20 cm a su izquierda se coloca un objeto de 5 mm de altura, halla la posición y el tamaño de la imagen.

b) Si dicha lente es de vidrio (n = 1.5) y una de sus caras tiene un radio de curvatura de 20 cm, ¿cuál es el radio de curvatura de la otra?

P.-S.

a) Los datos que indica el enunciado, aplicando el criterio de signos DIN, son: P = 3\ D, s = -0.2\ m e y = 5\ mm.

Si aplicas la definición de potencia de una lente:

P = \frac{1}{s^{\prime}} - \frac{1}{s}\ \to\ \color[RGB]{2,112,20}{\bm{\frac{1}{s^{\prime}} = P + \frac{1}{s}}}

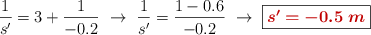
La posición de la imagen es:

\frac{1}{s^\prime}} = 3 + \frac{1}{-0.2}\ \to\ \frac{1}{s^{\prime}} = \frac{1 - 0.6}{-0.2}\ \to\ \fbox{\color[RGB]{192,0,0}{\bm{s^{\prime} = -0.5\ m}}}


La imagen se obtiene a la izquierda de la lente, por eso tiene signo negativo, y más lejos de la lente que el objeto.

El aumento puede ser escrito en función de la altura del objeto y la imagen o de la posición de ambas:

A_L = \frac{s^{\prime}}{s} = \frac{y^{\prime}}{y}\ \to\ \color[RGB]{2,112,20}{\bm{y^{\prime} = \frac{s^{\prime}\cdot y}{s}}}

La altura de la imagen es:

y^{\prime} = \frac{-0.5\ \cancel{m}\cdot 5\ mm}{-0.2\ \cancel{m}} = \fbox{\color[RGB]{192,0,0}{\bf 12.5\ mm = 1.25\ cm}}


La imagen es mayor y derecha, porque el signo es el mismo que la altura del objeto.

Al ser una lente de potencia positiva, debes tener en cuenta que solo puede ser de tres tipos: biconvexa, planoconvexa o de menisco convergente. En todos los casos, el radio de la cara es positivo, es decir, R_1 > 0. La ecuación a usar es:

\color[RGB]{2,112,20}{\bm{P = (n_L - 1)\left(\frac{1}{R_1} - \frac{1}{R_2}\right)}}

Si sustituyes los datos y despejas:

3 = (1.5 - 1)\left(\frac{1}{0.2} - \frac{1}{R_2}\right)\ \to\ \frac{1}{R_2} = \frac{1}{0.2} - 6\ \to\ \fbox{\color[RGB]{192,0,0}{\bm{R_2 = -1\ m}}}


Se trata, por lo tanto, de una lente biconvexa.