Distancia focal y posición y tamaño de la imagen en un espejo cóncavo (8200)

, por F_y_Q

Ante un espejo cóncavo de 80 cm de radio y a 2 m de distancia se coloca un objeto de 10 cm de altura. Calcula la distancia focal, la posición de la imagen y su tamaño.

P.-S.

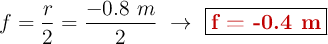
La distancia focal es la mitad del radio:

f = \frac{r}{2} = \frac{-0.8\ m}{2}\ \to\ \fbox{\color[RGB]{192,0,0}{\bf f = -0.4\ m}}


La posición de la imagen la obtienes a partir de la ecuación:

\color[RGB]{2,112,20}{\bm{\frac{1}{s^{\prime}} + \frac{1}{s} = \frac{1}{f}}}

Despejas el valor de la posición de la imagen:

\frac{1}{s^{\prime}} = \frac{1}{f} - \frac{1}{s}\ \to\ \color[RGB]{2,112,20}{\bm{s^{\prime} = \frac{s\cdot f}{s - f}}}

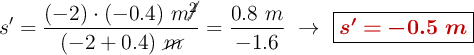
Sustituyes y calculas:

s^{\prime} = \frac{(-2)\cdot (-0.4)\ m\cancel{^2}}{(-2 + 0.4)\ \cancel{m}} = \frac{0.8\ m}{-1.6}\ \to\ \fbox{\color[RGB]{192,0,0}{\bm{s^{\prime} = -0.5\ m}}}


Para calcular el tamaño debes usar la ecuación del aumento lateral:

M_L = \frac{y^{\prime}}{y} = -\frac{s^{\prime}}{s}\ \to\ \color[RGB]{2,112,20}{\bm{y^{\prime} = \frac{s^{\prime}\cdot y}{s}}}

Sustituyes y calculas:

y^{\prime} = \frac{(-0.5)\cdot (-0.1)\ m\cancel{^2}}{(-2)\ \cancel{m}}\ \to\ \fbox{\color[RGB]{192,0,0}{\bm{y^{\prime} = -0.025\ m}}}