Porcentaje (m/V) de una disolución 0.45 N de H2SeO2 (7221)

, por F_y_Q

¿Cuál es el porcentaje (p/V) de una solución 0.45 N de \ce{H2SeO2} ?

P.-S.

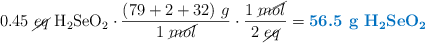
Al ser un ácido diprótico, la masa de un equivalente químico es la mitad que la masa molecular del ácido. Si tomas como base de cálculo un litro de disolución tendrás 0.45 equivalentes del ácido:

0.45\ \cancel{eq}\ \ce{H2SeO2}\cdot \frac{(79 + 2 + 32)\ g}{1\ \cancel{mol}}\cdot \frac{1\ \cancel{mol}}{2\ \cancel{eq}} = \color[RGB]{0,112,192}{\textbf{56.5\ g\ \ce{H2SeO2}}}

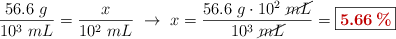
El dato obtenido es la masa de soluto en 1 000 mL de disolución pero el porcentaje que tienes que calcular está referido a 100 mL de disolución:

\frac{56.6\ g}{10^3\ mL} = \frac{x}{10^2\ mL}\ \to\ x = \frac{56.6\ g\cdot 10^2\ \cancel{mL}}{10^3\ \cancel{mL}} = \fbox{\color[RGB]{192,0,0}{\bf 5.66\%}}