Porcentaje en plata de una moneda que es valorada con NaOH (6485)

, por F_y_Q

Una moneda de plata, cuya masa es de 4.652 g, se disuelve en ácido nítrico y se lleva a un volumen de 200 mL. Se toman 10 mL de esta solución y se titulan o valoran adecuadamente con una solución 0.1 N de NaOH, de la cual se gastan 19.45 mL. Hallar el tanto por ciento en masa-masa de plata en dicha moneda.

P.-S.

El planteamiento lógico de este ejercicio es empezar por el final. Calcular los moles de base que son necesarios para reaccionar con la plata de la disolución diluida de plata. Al ser una base con un único grupo \ce{OH^-}, la normalidad y la molaridad coinciden:

19.45\ \cancel{mL}\cdot \frac{0.1\ mol}{10^3\ \cancel{mL}} = 1.945 \cdot 10^{-3}\ mol\ \ce{Ag+}

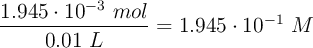
Como esos moles de plata están diluidos en solo 10 mL, su concentración molar es:

\frac{1.945\cdot 10^{-3}\ mol}{0.01\ L} = 1.945 \cdot 10^{-1}\ M

Esta concentración es la misma que la de la disolución de nitrato de plata. Al ser 0.2 L el volumen de la disolución, los moles contenidos en ese volumen son:

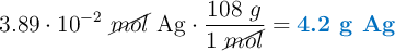
1.945\cdot 10^{-1}\ \frac{mol}{\cancel{L}}\cdot 0.2\ \cancel{L} = \color[RGB]{0,112,192}{\bm{3.89\cdot 10^{-2}}\ \textbf{\ce{mol\ \ce{Ag+}}}

La masa que corresponde a esos moles de plata es:

3.89\cdot 10^{-2}\ \cancel{mol}\ \ce{Ag}\cdot \frac{108\ g}{1\ \cancel{mol}} = \color[RGB]{0,112,192}{\textbf{4.2\ g\ \ce{Ag}}}

El porcentaje de plata que contiene la moneda es:

\frac{4.2\ \cancel{g}}{4.652\ \cancel{g}}\cdot 100 = \fbox{\color[RGB]{192,0,0}{\bf 90.3\ \%}}}