Porcentaje en masa y partes por millón de cianuro en una disolución (4632)

, por F_y_Q

Una disolución de cianuro que se emplea para lixiviar oro de su mena y se prepara agregando 1 lb de cianuro de sodio, NaCN, a un ton de agua. Indica la concentración de NaCN en:

a) Porcentaje en masa.

b) Partes por millón.

Dato: 1 ton =2000 lb.

P.-S.

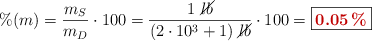
a) El porcentaje en masa lo puedes obtener de manera simple si sumas la masa de soluto y de disolvente para saber la masa de la disolución:

\%(m) = \frac{m_S}{m_D}\cdot 100 = \frac{1\ \cancel{lb}}{(2\cdot 10^3 + 1)\ \cancel{lb}}\cdot 100 = \fbox{\color[RGB]{192,0,0}{\bf 0.05\%}}


b) La concentración en partes por millón (ppm) hace referencia al cociente entre mili- (unidad de masa de soluto) y kilo- (unidad de masa de disolución). La proporción entre ambos prefijos es de un millón. Si conviertes los datos dados:

1\ \cancel{lb}\cdot \frac{10^3\ mlb}{1\ \cancel{lb}} = \color[RGB]{0,112,192}{\bm{10^3\ mlb}}

2001\ \cancel{lb}\cdot \frac{1\ klb}{10^3\ \cancel{lb}} = \color[RGB]{0,112,192}{\bf 2.001\ klb}

La concentración pedida es:

\frac{10^3\ mlb}{2.001\ klb} = \fbox{\color[RGB]{192,0,0}{\bf 500\ ppm}}