Porcentaje en masa inicial de una disolución que sufre una dilución

, por F_y_Q

Un frasco contiene 330 mL de una solución de ácido nítrico cuya densidad es 1,193\ \textstyle{g\over cm^3}. Se le agrega agua hasta un volumen de 1\ dm^3, obteniéndose una solución cuya concentracion es 2 M. Calcula la concentración de la solucion inicial, expresada en \%\left(\textstyle{m\over m}\right).

P.-S.

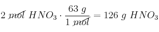
Cuando se lleva a un volumen final de 1 L (que es lo mismo que 1\ dm^3), su concentración es 2 M, es decir, la disolución inicial contiene 2 moles de soluto. Teniendo en cuenta la masa molecular del ácido nítrico, esos 2 moles equivalen a una masa de:
2\ \cancel{mol}\ HNO_3\cdot \frac{63\ g}{1\ \cancel{mol}} = 126\ g\ HNO_3
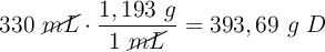
Ahora convertimos en masa el volumen de disolución inicial:
330\ \cancel{mL}\cdot \frac{1,193\ g}{1\ \cancel{mL}} = 393,69\ g\ D
El porcentaje en masa es:

\%\left(\textstyle{m\over m}\right) = \frac{126\ \cancel{g}}{393,69\ \cancel{g}}\cdot 100 = \bf 32\%