Porcentaje en masa de una disolución saturada de acetato de sodio (4917)

, por F_y_Q

Si preparamos una disolución saturada de acetato de sodio en un litro de agua a 30\ ^oC, ¿cuál será la concentración de la disolución obtenida en, expresada porcentaje en masa?

Datos: La solubilidad del acetato de sodio (\ce{CH_3COONa }) a 30\ ^oC es \textstyle{125 \ g\over 100\ \ce{g\ H_2O}}. La densidad del agua es \textstyle{1 \ kg\over  L}.

P.-S.

Dado el dato de la densidad del agua, tendrás una disolución formada por 10^3\ g de agua en los que habrá disueltos:

10^3\ \cancel{g\ \ce{H2O}}\cdot \frac{125\ g\ \ce{CH3COONa}}{100\ \cancel{g\ \ce{H2O}}} = \color[RGB]{0,112,192}{\textbf{1 250 g \ce{CH_3COONa}}

Al ser una disolución saturada estará disuelta la máxima cantidad de soluto posible a esa temperatura.

La masa total de la disolución es:

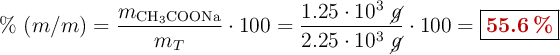
m_T =  (10^3 + 1.25\cdot 10^3)\ g = \color[RGB]{0,112,192}{\bm{2.25\cdot 10^3\ g}}

La concentración porcentual es:

\%\ (m/m) = \frac{m_{\ce{CH3COONa}}}{m_T}\cdot 100 = \frac{1.25\cdot 10^3\ \cancel{g}}{2.25\cdot 10^3\ \cancel{g}}\cdot 100 = \fbox{\color[RGB]{192,0,0}{\bf 55.6\%}}