Partes por millón de fertilizante en una muestra de suelo (6003)

, por F_y_Q

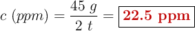
Una muestra de 2 toneladas de suelo contiene un total de 45 g de fertilizante. Expresa la concentración del fertilizante en ppm.

P.-S.

Al tratarse de un sistema sólido, la concentración en ppm se puede expresar como g/tonelada o mg/kg. Si usas las unidades del enunciado:

c\ (ppm) = \frac{45\ g}{2\ t} = \fbox{\color[RGB]{192,0,0}{\bf 22.5\ ppm}}