PAU entalpía 0002 5088
El sulfuro de cinc reacciona con el oxígeno según:
![]()
Halla la energía que se desprende cuando reaccionan 17,6 g de sulfuro de cinc en condiciones estándar.
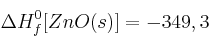
Datos (en kJ/mol):
;
; ![]()
El sulfuro de cinc reacciona con el oxígeno según:
![]()
Halla la energía que se desprende cuando reaccionan 17,6 g de sulfuro de cinc en condiciones estándar.
Datos (en kJ/mol):
;
; ![]()