Orden de precipitación de los aniones presentes en una disolución (6168)

, por F_y_Q

Se agrega nitrato de plata a una disolución acuosa 0.01 M de cloruro de sodio y 0.005 M de cromato de potasio. Determina cuál será el anión que precipitará en primer lugar. Considera que la adición del nitrato de plata no modifica el volumen de la disolución.

Datos: \ce{K_s (AgCl)} = 1.72\cdot 10^{-10} ; \ce{K_s (Ag2CrO4)} = 8.99\cdot 10^{-12}.

P.-S.

Las reacciones de precipitación que debes tener en cuenta son:

\color[RGB]{2,112,20}{\textbf{\ce{Ag^+(ac) + Cl^-(ac)  -> AgCl(s) v}}}

\color[RGB]{2,112,20}{\textbf{\ce{2Ag^+(ac) + CrO4^2-(ac)  -> Ag2CrO4(s) v}}}

Calcula la concentración del catión plata que sería necesaria para que precipitara cada una de las sales de las reacciones anteriores:

\ce{K_s(AgCl) = [Ag^+][Cl^-]}\  \to\ \ce[Ag^+]} = \frac{\ce{(AgCl)}}{\ce{[Cl^-]}}

\ce{[Ag^+]} = \frac{1.72\cdot 10^{-10}\ M\cancel{^2}}{10^{-2}\ \cancel{M}} = \fbox{\color[RGB]{192,0,0}{\bm{1.72\cdot 10^{-8}\ M}}}


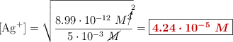
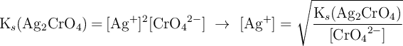
\ce{K_s(Ag2CrO4) = [Ag^+]^2[CrO4^2-]}\ \to\ \ce{[Ag^+]}  = \sqrt{\frac{\ce{K_s(Ag2CrO4)}}{\ce{[CrO4^2-]}}}

\ce{[Ag^+]} = \sqrt{\frac{8.99\cdot 10^{-12}\ M\cancelto{2}{^3}}{5\cdot 10^{-3}\ \cancel{M}}} = \fbox{\color[RGB]{192,0,0}{\bm{4.24\cdot 10^{-5}\ M}}}


Como la concentración de catión plata necesaria es MENOR para el cloruro de plata, será esta sal la que precipite primero.