Números de oxidación 0001 6478

, por F_y_Q

Indicar el número de oxidación en cada uno de los elementos en las siguientes especies: a) HNO_3 ; b) I_2 ; c) H_2O ; d) H_2O_2 ; e) Ba(HSO_3)_2

P.-S.

a) \bf H^{+1}N^{+5}O_3^{-2}
b) \bf I_2^0
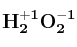
c) \bf H_2^{+1}O^{-2}
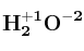
d) \bf H_2^{+1}O_2^{-1}
e) \bf Ba^{+2}(H^{+1}S^{+4}O_3^{-2})_2