Números cuánticos y configuración electrónica Opción B EBAU Andalucía junio 2017

, por F_y_Q

Un átomo tiene 34 protones y 44 neutrones y otro átomo posee 19 protones y 20 neutrones:

a) Indica el número atómico y el número másico de cada uno de ellos.

b) Escribe un posible conjunto de números cuánticos para el electrón diferenciador de cada uno de ellos.

c) Indica, razonadamente, cuál es el ión más estable de cada uno de ellos y escribe su configuración electrónica.

P.-S.

a) El número atómico coincide con el número de protones y el número másico será la suma de los protones y neutrones de cada átomo:
\bf Z_X = 34 y \bf A_X = 78 ; \bf Z_Y = 19 y \bf A_Y = 39
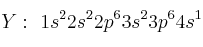
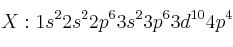
b) Si escribimos las configuraciones electrónicas de ambos elementos podremos escribir la cuaterna de números cuánticos que nos piden:
X: 1s^22s^22p^63s^23p^63d^{10}4p^4
Y:\ 1s^22s^22p^63s^23p^64s^1
Las cuaternas las referimos a los electrones del último nivel ocupado:
\bf X:\ (4, 1, -1, -\textstyle{1\over 2})
\bf Y:\ (4, 0,
 0, +\textstyle{1\over 2})
c) \bf X^{2-}:\ 1s^22s^22p^63s^23p^63d^{10}4p^6
\bf Y^+:\ 1s^22s^22p^63s^23p^6
De este modo los iones quedan con el último nivel energético LLENO, lo que los dota de gran estabilidad.