Normalidad de una disolución de sal (7213)

, por F_y_Q

Calcula la normalidad de una disolución de \ce{ NaCl} que contiene 603.5 g de soluto en 605.3 mL de disolución.

Masas atómicas: Na = 23 ; Cl = 35.

P.-S.

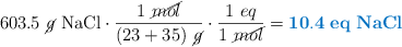
La normalidad es un modo de expresar la concentración que toma como base los equivalentes en lugar de los moles de soluto. En el caso de una sal, el número de equivalentes es igual al cociente entre el número de moles y la carga del catión de la sal. Como el catión es monovalente en el caso del \ce{ NaCl}, coincidirán el número de moles y el de equivalentes.

603.5\ \cancel{g}\ \ce{NaCl}\cdot \frac{1\ \cancel{mol}}{(23 + 35)\ \cancel{g}}\cdot \frac{1\ eq}{1\ \cancel{mol}} = \color[RGB]{0,112,192}{\bf 10.4\ eq\ \textbf{\ce{NaCl}}}

Cuidado porque para calcular la normalidad debes expresar el volumen en litros:

N = \frac{n_{eq}}{V} = \frac{10.4\ eq}{0.6053\ L} = \fbox{\color[RGB]{192,0,0}{\bm{17.18\ \frac{eq}{L}}}}