Normalidad de una disolución de ácido sulfúrico 0001

, por F_y_Q

Calcula la normalidad de una disolución de ácido sulfúrico, sabiendo que 5 g de este ácido están disueltos en 250 mL de disolución.

Datos: H = 1 ; S = 32 ; O = 16

P.-S.

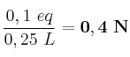
La normalidad es el cociente entre los equivalentes de ácido y el volumen de disolución, expresado en litros.
La masa equivalente del ácido sulfúrico es el cociente entre la masa molecular y el número de átomos de hidrógeno del ácido. La masa molecular es: H_2SO_4: 2\cdot 1 + 1\cdot 32 + 4\cdot 16 = 98. Por lo tanto, la masa de un equivalente será 98/2 = 49 g/eq.

5\ g\cdot \frac{1\ eq}{49\ g} = 0,1\ eq


La normalidad será:

\frac{0,1\ eq}{0,25\ L} = \bf 0,4\ N