Normalidad de una disolución 0003

, por F_y_Q

¿Cuántos gramos de H_3PO_4 se necesitan para preparar 350 mL de una disolución 2,5 N? ¿Cuál es su molaridad?

P.-S.

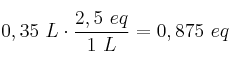
La normalidad se define como el cociente de los equivalentes entre el volumen de disolución. Una disolución 2,5 N tendría disueltos 2,5 equivalentes de H_3PO_4 en un litro de disolución. Nos dicen que sólo necesitamos 350 mL, es decir, 0,35 L, por lo que necesitaremos solo:
0,35\ L\cdot \frac{2,5\ eq}{1\ L} = 0,875\ eq
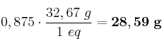
La masa de un equivalente es la masa molar del compuesto pero dividida por el número de protones (o grupos OH) que posea. En el caso de nuestro ácido:
m_{eq} = \frac{98\ g}{3} = 32,67\ g
Basta con tener en cuenta esta equivalencia:

0,875\eq \cdot \frac{32,67\ g}{1\ eq} = \bf 28,59\ g


La molaridad será, por definición, la tercera parte de la normalidad, por lo tanto es 0,83 M.