Normalidad de una disolución 0001

, por F_y_Q

¿Qué volumen de solución 0,8 N se puede preparar con 20 g de NaOH?

P.-S.

Como el hidróxido de sodio tiene sólo un grupo OH^-, coincide su normalidad con su molaridad. Vamos a calcular los moles de NaOH que son los 20 g que nos dan:

20\ g\cdot \frac{1\ mol}{40\ g} = \bf 0,5\ mol


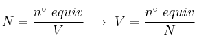
El número de equivalentes es igual al de moles, como hemos dicho antes, así que sólo nos queda aplicar la definición de normalidad:

N = \frac{n^\circ \ equiv}{V}\ \to\ V = \frac{n^\circ \ equiv}{N}


Sustituimos los datos:

V = \frac{0,5\ equiv}{0,8\ equiv/L} = \bf 0,625\ L


También se puede expresar como 625 mL de disolución.