Naturaleza de una esfera a partir de datos de densidad
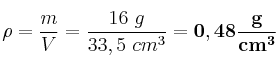
Determina la sustancia de que está hecha una esfera de 2 cm de radio que tiene una masa de 16 g.

Determina la sustancia de que está hecha una esfera de 2 cm de radio que tiene una masa de 16 g.
