Movimiento rectilineo uniformemente acelerado en una dimensión 0002 6259
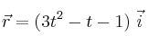
El vector de posición de una partícula que se mueve según el eje X es
. Determina los vectores velocidad y aceleración.
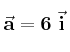
El vector de posición de una partícula que se mueve según el eje X es
. Determina los vectores velocidad y aceleración.