Moléculas de gas en un recipiente (3043)

, por F_y_Q

¿Cuántas moléculas gaseosas hay en un recipiente de 1 L si la presión es de 12 600 torr y la temperatura 224 K?

P.-S.

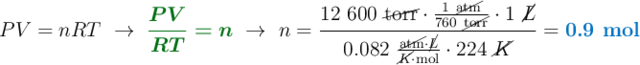
Para calcular las moléculas necesitas conocer los moles de gas que hay contenidos en el recipiente. Lo puedes averiguar si usas la ecuación de los gases ideales, pero, y esto es importante, debes expresar la presión en atmósferas:

PV = nRT\ \to\ {\color[RGB]{2,112,20}{\bm{\frac{PV}{RT} = n}}}\ \to\ n = \frac{12\ 600\ \cancel{\text{torr}}\cdot \frac{1\ \cancel{\text{atm}}}{760\ \cancel{\text{torr}}}\cdot 1\ \cancel{L}}{0.082\ \frac{\cancel{\text{atm}}\cdot \cancel{L}}{\cancel{K}\cdot \text{mol}}\cdot 224\ \cancel{K}} = {\color[RGB]{0,112,192}{\textbf{0.9 mol}}}

Lo último que debes hacer es aplicar la definición de mol:

0.9\ \cancel{\text{mol}}\cdot \frac{6.022\cdot 10^{23}\ \text{molec}}{1\ \cancel{\text{mol}}} = \fbox{\color[RGB]{192,0,0}{\bm{5.42\cdot 10^{23}\ molec}}}