Molaridad y molalidad finales después de diluir una disolución (6483)

, por F_y_Q

Calcula la molaridad y molalidad, así como el volumen de disolución preparada que contiene 1.5 \cdot 10^{-3}\ mol de soluto de la disolución acuosa a 25\ ^oC:

a) 100 mg de una disolución 2.5 m de cloruro de hidrógeno se diluyen con agua hasta obtener un volumen final de 1.50 L.

b) 20 mL de una disolución 1.0 M de amoniaco se diluyen con agua hasta obtener un volumen final de 1.00 L

P.-S.

a) La disolución contiene 2.5 mol de \ce{HCl} por cada 10^3\ g de agua:

2.5\ \cancel{mol}\ \ce{HCl}\cdot \frac{36.5\ g}{1\ \cancel{mol}} = \color[RGB]{0,112,192}{\textbf{91.25\ g\ \ce{HCl}}}

Esto quiere decir que por cada (91.25  + 10^3)\ g de disolución que tomes habrá 2.5 mol de soluto.
Como tomas solo 0.1 g de disolución para diluir, habrá:

0.1\ \cancel{g\ D}\cdot \frac{2.5\ mol\ \ce{HCl}}{1.09\cdot 10^3\ \cancel{g\ D}} = \color[RGB]{0,112,192}{\bm{2.29\cdot 10^{-4}}\ \textbf{mol\ \ce{HCl}}}

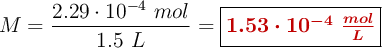
La molaridad de la disolución final es:

M = \frac{2.29\cdot 10^{-4}\ mol}{1.5\ L} = \fbox{\color[RGB]{192,0,0}{\bm{1.53\cdot 10^{-4}\ \frac{mol}{L}}}}


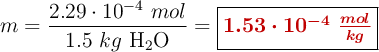
La molalidad, al ser tan pequeña la masa de soluto y agua, va a coincidir con la molaridad ya que consideras una masa de agua de 1.5 kg:

m = \frac{2.29\cdot 10^{-4}\ mol}{1.5\ kg\ \ce{H2O}} = \fbox{\color[RGB]{192,0,0}{\bm{1.53\cdot 10^{-4}\ \frac{mol}{kg}}}}


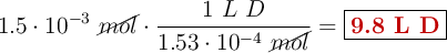
El volumen de disolución que contiene los moles pedidos en el enunciado es:

1.5\cdot 10^{-3}\ \cancel{mol}\cdot \frac{1\ L\ D}{1.53\cdot 10^{-4}\ \cancel{mol}} = \fbox{\color[RGB]{192,0,0}{\bf 9.8\ L\ D}}


b) Primero calculas los moles de \ce{NH3} contenidos en los 20 mL:

2\cdot 10^{-2}\ \cancel{L\ D}\cdot \frac{1\ mol\ \ce{NH3}}{1\ \cancel{L\ D}} = \color[RGB]{0,112,192}{\bm{2\cdot 10^{-2}}\ \textbf{mol\ \ce{NH3}}}

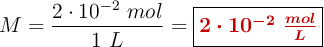
Como el volumen final es, precisamente, 1 L:

M = \frac{2\cdot 10^{-2}\ mol}{1\ L} = \fbox{\color[RGB]{192,0,0}{\bm{2\cdot 10^{-2}\ \frac{mol}{L}}}}


Si supones que para llevar los 20 mL hasta el litro de disolución final debes añadir 980 mL de agua, es decir 0.98 kg de agua, la molalidad es:

m = \frac{2\cdot 10^{-2}\ mol}{0.98\ kg\ \ce{H2O}} = \fbox{\color[RGB]{192,0,0}{\bm{2.04\cdot 10^{-2}\ \frac{mol}{kg}}}}


El volumen de disolución que contiene los moles pedidos en el enunciado es:

1.5\cdot 10^{-3}\ \cancel{mol}\cdot \frac{1\ L\ D}{2\cdot 10^{-2}\ \cancel{mol}} = \fbox{\color[RGB]{192,0,0}{\bm{7.5\cdot 10^{-2}\ L\ D}}}