Molaridad, normalidad y molalidad de una disolución a partir de la densidad y el porcentaje (m/V) (5149)

, por F_y_Q

Se quiere preparar 2 litros de una solución acuosa de ácido carbónico al 20 \% (m/V). Sabiendo que la densidad de la solución es de 1.6 g/mL, calcula la molaridad, molalidad y normalidad de la disolución.

P.-S.

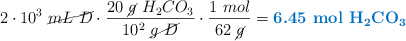
Considerando los dos litros de disolución que hay que preparar debes calcular los moles de soluto que serían necesarios y la masa de la disolución.

2\cdot 10^3\ \cancel{mL\ D}\cdot \frac{20\ \cancel{g}\ H_2CO_3}{10^2\ \cancel{g\ D}}\cdot \frac{1\ mol}{62\ \cancel{g}} = \color[RGB]{0,112,192}{\textbf{6.45\ \ce{mol\ H2CO3}}

2\cdot 10^3\ \cancel{mL}\ D\cdot \frac{1.6\ g}{1\ \cancel{mL}} = \color[RGB]{0,112,192}{\bf{3.2\cdot 10^3}\ \textbf{g\ D}}}

De esta masa de disolución 400 g son de soluto. La masa de disolvente es:

3.2\cdot 10^3\ g - \left(6.45\ \cancel{mol}\ \ce{H2CO3} \cdot 62\ \frac{g}{\cancel{mol}}\right) = \color[RGB]{0,112,192}{\textbf{2\ 800\ \ce{g\ H2O}}}

Molaridad:

M = \frac{mol\ S}{L\ D} = \frac{6.45\ mol}{2\ L} = \fbox{\color[RGB]{192,0,0}{\bm{3.23\ \frac{mol}{L}}}}


Normalidad: La normalidad la puedes obtener a partir de la molaridad si tienes en cuenta el número de hidrógenos del ácido (dos en este ejercicio):

N = n_{\ce{H+}}\cdot M = 2\ \frac{eq}{\cancel{mol}}\cdot 3.23\ \frac{\cancel{mol}}{L} = \fbox{\color[RGB]{192,0,0}{\bm{6.46\ \frac{eq}{L}}}}


Molalidad:

m = \frac{mol\ S}{\ce{kg\ H2O}} = \frac{6.45\ mol}{2.8\ kg} = \fbox{\color[RGB]{192,0,0}{\bm{2.3\ \frac{mol}{kg}}}}