Molaridad final de la mezcla de dos disoluciones de distinta molaridad (6251)

, por F_y_Q

Se mezcla un volumen de 40.0 mL de disolución de \ce{Fe(NO_3)_3} 1.80 M con 21.5 mL de disolución 0.808 M de \ce{Fe(NO_3)_3}. Calcula la concentración molar de la disolución final.

P.-S.

Calculas los moles de soluto que aporta cada disolución:

0.04\ \cancel{L}\cdot \frac{1.8\ mol\ \ce{Fe(NO3)3}}{\cancel{L}} = \color[RGB]{0,112,192}{\bm{7.2\cdot 10^{-2}}\ \textbf{mol\ \ce{Fe(NO3)3}}}

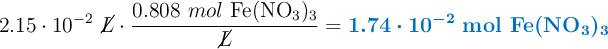
2.15\cdot 10^{-2}\ \cancel{L}\cdot \frac{0.808\ mol\ \ce{Fe(NO3)3}}{\cancel{L}} = \color[RGB]{0,112,192}{\bm{1.74\cdot 10^{-2}}\ \textbf{mol\ \ce{Fe(NO3)3}}}

Los moles de soluto totales son la suma de los moles que aporta cada disolución. También debes considerar el volumen de la disolución como la suma de los volúmenes:

M = \frac{(7.2 + 1.74)\cdot \cancel{10^{-2}}\ mol}{(4 + 2.15)\cdot \cancel{10^{-2}}\ L} = \fbox{\color[RGB]{192,0,0}{\bm{1.45\ \frac{mol}{L}}}}