Molaridad de una solución concentrada de ácido sulfúrico y volumen para preparar otra menos concentrada (6363)

, por F_y_Q

Se quiere preparar una disolución de \ce{H_2SO_4} al 20\ \%\ (\textstyle{m\over m}) y densidad 1.14 \ \textstyle{g\over mL} a partir de una disolución concentrada al 98\ \%\ (\textstyle{m\over m}) y densidad 1.84 \ \textstyle{g\over mL}. Determina:

a) La molaridad de la solución concentrada.

b) El volumen de solución de \ce{H_2SO_4} concentrada que hay que tomar para preparar 100 mL de la solución.

P.-S.

a) Para calcular la molaridad de la solución concentrada puedes considerar 1 L de disolución, ya que la molaridad se define en base al volumen de disolución expresado en litros. A partir de esa base de cálculo, debes determinar los moles de soluto contenidos en ese litro, teniendo en cuenta que la masa molecular del soluto es 98 g/mol. Lo puedes hacer todo en un único paso usando varios factores de conversión:

10^3\ \cancel{mL\ D}\cdot \frac{1.84\ \cancel{g\ D}}{1\ \cancel{mL\ D}}\cdot \frac{98\ \cancel{g}\ \ce{H2SO4}}{100\ \cancel{g\ D}}\cdot \frac{1\ mol}{98\ \cancel{g}} = \color[RGB]{0,112,192}{\textbf{18.4 mol \ce{H2SO4}}}

Esto quiere decir que la molaridad de la solución concentrada es \fbox{\color[RGB]{192,0,0}{\textbf{18.4 M}}}.

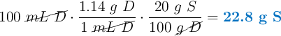
b) Ahora la base de calculo son 100 mL de disolución diluida, porque así lo indica el enunciado del ejercicio:

100\ \cancel{mL\ D}\cdot \frac{1.14\ g\ D}{1\ \cancel{mL\ D}}\cdot \frac{20\ g\ S}{100\ \cancel{g\ D}} = \color[RGB]{0,112,192}{\textbf{22.8 g S}}

Estos son los gramos de soluto que debes tomar de la disolución concentrada. Ahora calculas qué volumen de disolución concentrada contiene esta masa de soluto:

22.8\ \cancel{g\ S}\cdot \frac{100\ \cancel{g\ D}}{98\ \cancel{g\ S}}\cdot \frac{1\ mL\ D}{1.84\ \cancel{g\ D}} = \fbox{\color[RGB]{192,0,0}{\textbf{12.6 mL D}}}