Molaridad de una mezcla que se añade a otra para obtener disolución final

, por F_y_Q

A 2.00 L de concentración 0.445 M de HCl, se le agregan 3.88 L de una segunda solución de HCl de una concentración desconocida. La solución resultante tiene una concentración 0.974 M. Suponiendo que los volúmenes son aditivos, calcula la molaridad de la segunda solución de HCl.

P.-S.

Si dividimos la suma de los moles de HCl que cada disolución aporta entre el volumen final de la mecla, tenemos el dato de la molaridad de la mezcla final. Como los moles de HCl que aporta cada disolución se escriben en función de las concentraciones y los volúmenes, podremos despejar la concentración de la segunda disolución:

\frac{V_1\cdot M_1 + V_2\cdot M_2}{(V_1 + V_2)} = 0.974\ \to\ V_1\cdot M_1 + V_2\cdot M_2 = 0.974(V_1 + V_2)

Despejamos el valor de la concentración de la segunda disolución:

M_2 = \frac{0.974(V_1 + V_2) - V_1\cdot M_1}{V_2}

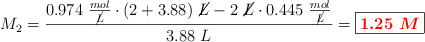
Solo nos queda sustituir y calcular:

M_2 = \frac{0.974\ \frac{mol}{\cancel{L}}\cdot (2 + 3.88)\ \cancel{L} - 2\ \cancel{L}\cdot 0.445\ \frac{mol}{\cancel{L}}}{3.88\ L} = \fbox{\color{red}{\bm{1.25\ M}}}