Molaridad de una mezcla de disoluciones 0001

, por F_y_Q

Se han mezclado 400 mL de disolución 0,6 M de cloruro de sodio con 900 mL de solución 0,05 M del mismo soluto. Calcula la molaridad de la nueva disolución, suponiendo que los volúmenes son aditivos.

P.-S.

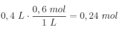
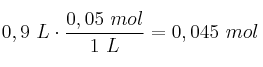
Vamos a determinar los moles de soluto contenidos en cada disolución:
0,4\ L\cdot \frac{0,6\ mol}{1\ L} = 0,24\ mol
0,9\ L\cdot \frac{0,05\ mol}{1\ L} = 0,045\ mol
Como nos dicen que los volúmenes son aditivos, el volumen final será de 1,3 L y los moles totales son 0,285 mol, por lo que la molaridad final será:

\frac{0,285\ mol}{1,3\ L} = \bf 0,22\ M