Molaridad de una disolución de sacarosa 0001

, por F_y_Q

Calcula la molaridad de una disolución de 1 L que contiene 24 g de sacarosa.

P.-S.

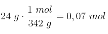
La sacarosa es C_{12}H_{22}O_{11} y su masa molecular es 342 g/mol. Los 24 g de sacarosa serán:

24\ g\cdot \frac{1\ mol}{342\ g} = 0,07\ mol


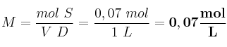
Como el volumen de disolución a considerar sería 1 L, diremos que la molaridad es:

M = \frac{mol\ S}{V\ D} = \frac{0,07\ mol}{1\ L} = \bf 0,07\frac{mol}{L}