Molaridad de una disolución de HCl a partir de otra concentrada

, por F_y_Q

Calcula la molaridad de 1,4 mL de HCl, que tienen una pureza del 20\% y una densidad de 1,1 g/mL, disueltos en 250 mL.

Masas atómicas: H = 1 ; Cl = 35,5.

P.-S.

En primer lugar convertimos el volumen de HCl en masa, usando la densidad, para poder aplicar el dato de pureza y luego determinar los moles de HCl puros. Terminaremos calculando la molaridad con el dato del volumen de la disolución, que son los 250 mL.
Masa de disolución de HCl:
1,4\ mL\ HCl\cdot \frac{1,1\ g}{1\ mL} = 1,54\ g\ D_{HCl}
Masa de HCl puro:
1,54\g\ D_{HCl}\cdot \frac{20\ g\ HCl}{100\ g\ D_{HCl}} = 0,31\ g\ HCl
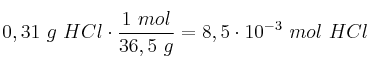
Moles de HCl:
La masa molecular del HCl es: (1\cdot 1 + 1\cdot 35,5)\ g = 36,5\ g/mol.
0,31\ g\ HCl\cdot \frac{1\ mol}{36,5\ g} = 8,5\cdot 10^{-3}\ mol\ HCl
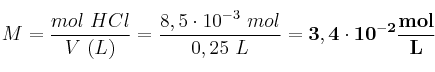
Molaridad de la disolución:

M = \frac{mol\ HCl}{V\ (L)} = \frac{8,5\cdot 10^{-3}\ mol}{0,25\ L} = \bf 3,4\cdot 10^{-2}\frac{mol}{L}