Molaridad de una disolución 0001

, por F_y_Q

Una disolución de sulfato de cobre se prepara disolviendo 10,6114 gramos de CuSO_4\cdot 5H_2O en 250 mL de agua destilada. ¿Cuál es su concentración molar?

P.-S.

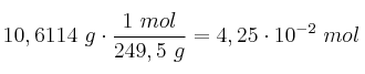
La masa molecular del compuesto disuelto es: (63,5 + 32 + 16·4) + 5(1·2 + 16) = 249,5 g/mol. Convertimos esa masa en moles:

10,6114\ g\cdot \frac{1\ mol}{249,5\ g} = 4,25\cdot 10^{-2}\ mol


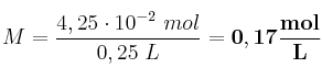
La concentración molar será:

M = \frac{4,25\cdot 10^{-2}\ mol}{0,25\ L} = \bf 0,17\frac{mol}{L}