Molalidad y porcentaje en masa de una solución saturada de urea

, por F_y_Q

A 20 ^oC la solubilidad de la urea \ce{CO(NH2)2} es de \textstyle{15.8\ g\ S\over 100\ cm^3\ d}. Averigua:

a) La molalidad de la solución saturada, sabiendo que la densidad del etanol a 20 ^oC es 0.789\ \textstyle{g\over cm^3}.

b) El porcentaje en peso \left(\textstyle{g\ S\over g\ d}\right) y el porcentaje en peso \left(\textstyle{g\ S\over g\ D}\right).

Masas atómicas: H = 1 ; C = 12 ; N = 14 ; O = 16.

(Recuerda que S es soluto, d es disolvente y D es disolución).

P.-S.

En primer lugar calculas la masa molecular de la urea:

\ce{CO(NH2)2}:\ 1\cdot 12 + 1\cdot 16 + (14 + 1)\cdot 2 = 60\ \textstyle{g\over mol}

a) Para calcular la molalidad necesitas conocer los moles de soluto y la masa de disolvente:

15.8\ \cancel{g}\ \ce{CO(NH2)2}\cdot \frac{1\ mol}{60\ \cancel{g}} = 0.263\ mol\ \ce{CO(NH2)2}

100 \ \cancel{cm^3}\ \text{etanol}\cdot \frac{0.789\ g}{1\ \cancel{cm^3}} = 78.9\ g\ \text{etanol}

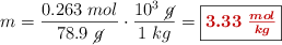
a) La molalidad se define como los moles de soluto que hay en un kilogramo de disolvente, es decir, en mil gramos:

m = \frac{0.263\ mol}{78.9\ \cancel{g}}\cdot \frac{10^3\ \cancel{g}}{1\ kg} = \fbox{\color[RGB]{192,0,0}{\bm{3.33\ \frac{mol}{kg}}}}


b) Como sabes la masa de soluto y la de disolvente en la disolución, el primer porcentaje es muy rápido:

\%\ \left(\textstyle{g\ S\over g\ d}\right) = \frac{15.8\ \cancel{g}}{78.9\ \cancel{g}}\cdot 100 = \fbox{\color[RGB]{192,0,0}{\bf 20\%}}


El segundo porcentaje es análogo al cálculo del primero pero debes tener en cuenta que la masa de la disolución es la suma de la masa del soluto y la del disolvente:

\%\ \left(\textstyle{g\ S\over g\ D}\right) = \frac{15.8\ \cancel{g}}{(15.8 + 78.9)\ \cancel{g}}\cdot 100 = \fbox{\color[RGB]{192,0,0}{\bf 16.7\%}}