Molalidad y molaridad 0001

, por F_y_Q

Se disuelven 3,5 g de ácido sulfúrico en 500 g de agua. Si la densidad de la disolución resultante es 1,5 g/mL, expresa la concentración de la solución en:

a) molalidad

b) molaridad

P.-S.

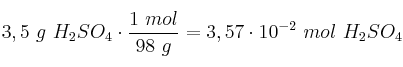
a) La molalidad se define como el cociente entre los moles de soluto y la masa de disolvente, expresada en kilogramos. La masa de agua, en kg, es 0,5 kg. Vamos a determinar los moles de ácido. La masa molecular del ácido sulfúrico (H_2SO_4) es 2·1 + 32 + 4·16 = 98 g/mol:

3,5\ g\ H_2SO_4\cdot \frac{1\ mol}{98\ g} = 3,57\cdot 10^{-2}\ mol\ H_2SO_4


m = \frac{3,57\cdot 10^{-2}\ mol}{0,5\ kg} = \bf 7,14\cdot 10^{-2}\ m


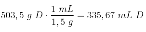
b) La molaridad es el cociente entre los moles de soluto y el volumen de la disolución, expresado en litros. Necesitamos conocer el volumen de la disolución. Para ello sumamos la masa de soluto y disolvente: (3,5 + 500) g = 503,5 g. Por medio de la densidad podemos averiguar el volumen de la disolución:

503,5\ g\ D\cdot \frac{1\ mL}{1,5\ g} = 335,67\ mL\ D


M = \frac{3,57\cdot 10^{-2}\ mol}{0,336\ L} = \bf 0,1\ M