Molalidad de una disolución de yodo en tetracloruro de carbono (2307)

, por F_y_Q

Se quieren disolver 720 mg de yodo (\ce{I2}) en 850 mL de tetracloruro de carbono cuya densidad es de 1.595\ g/cm^3. ¿Cuál es la concentración molal de la disolución?

P.-S.

La molalidad se define como:

\color[RGB]{2,112,20}{\bm{m = \frac{moles\ soluto}{kg\ disolvente}}}

Para calcular los moles de yodo, cuya masa atómica es 127, haces la masa molecular:

\ce{I2} = 2\cdot 127 = \color[RGB]{0,112,192}{\bm{254\ \frac{g}{mol}}}

El cálculo de los moles es:

720\ \cancel{mg}\ \ce{I2}\cdot \frac{10^{-3}\ \cancel{g}}{1\ \cancel{mg}}\cdot \frac{1\ mol}{254\ \cancel{g}} = \color[RGB]{0,112,192}{\bm{2.83\cdot 10^{-3}}}\ \color[RGB]{0,112,192}{\textbf{\ce{mol\ I2}}}


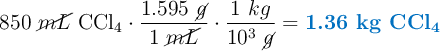
Ahora calculas la masa de disolvente a partir del dato de la densidad, pero expresada en kilogramos:

850\ \cancel{mL}\ \ce{CCl4}\cdot \frac{1.595\ \cancel{g}}{1\ \cancel{mL}}\cdot \frac{1\ kg}{10^3\ \cancel{g}} = \color[RGB]{0,112,192}{\textbf{1.36 kg \ce{CCl4}}}

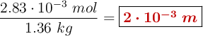
La molalidad es:

\frac{2.83\cdot 10^{-3}\ mol}{1.36\ kg} = \fbox{\color[RGB]{192,0,0}{\bm{2\cdot 10^{-3}\ m}}}