Mililitros/hora a microgotas/minuto 0001

, por F_y_Q

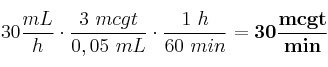
Un paciente sufre un infarto de miocardio y la doctora de urgencias le pauta una perfusión de solinitrina de 30 mL/h. La medida que trae el medicamento está referida a microgotas/minuto. ¿Cuál será la perfusión que ha de ajustar el enfermero para seguir la indicación de la doctora? Recuerda que 1 gota equivale a 3 microgotas y 0,05 mL.

P.-S.

Para hacer la conversión usaremos dos factores de conversión; uno dedicado al cambio de unidad de volumen y otro al de tiempo:

30\frac{mL}{h}\cdot \frac{3\ mcgt}{0,05\ mL}\cdot \frac{1\ h}{60\ min} = \bf 30\frac{mcgt}{min}

Como conclusión podemos obtener otra forma de conversión que es muy útil en el ámbito sanitario:

\bf \frac{1\ mcgt}{min} = \frac{1\ mL}{h}