Masa de una mezcla para igualar concentraciones en otra mezcla

, por F_y_Q

Se tienen dos mezclas con dos elementos cuyas concentraciones necesitamos igualar.

La primer mezcla es sólida y contiene un 10,5\% de Au y un 6,5\% de O, mientras que la segunda mezcla es líquida (densidad 1,24 g/mL) y con unas concentraciones del 1,2\% de Au y 3,1\% de O. ¿Cuántos gramos de la mezcla sólida debo de utilizar para preparar una mezcla líquida con la misma concentración de los analitos?

Considera que las concentraciones porcentuales son masa/masa en ambos casos.

P.-S.

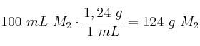
Para poder hacer el ejercicio es necesario fijar un volumen de mezcla líquida como base de cálculo. Vamos a considerar 100 mL de mezcla líquida y, aplicando la densidad de la misma:
100\ mL\ M_2\cdot \frac{1,24\ g}{1\ mL} = 124\ g\ M_2
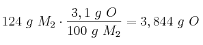
Si aplicamos la concentración porcentual sobre cada analito:
124\ g\ M_2\cdot \frac{1,2\ g\ Au}{100\ g\ M_2} = 1,488\ g\ Au
124\ g\ M_2\cdot \frac{3,1\ g\ O}{100\ g\ M_2} = 3,844\ g\ O
Para que la concentración de ambos analitos sea la misma es necesario que sus masas sean las mismas una vez que echemos una cantidad de la mezcla 1. Planteamos una ecuación en la que desconocemos la masa de M_1 necesaria pero le aplicamos la concentración porcentual de cada analito:
La masa después de la mezcla para el Au es:
0,105x + 1,488
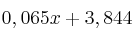
La masa después de la mezcla para el O es:
0,065x + 3,844
Igualamos ambas masas y resolvemos la ecuación:

0,105x + 1,488 = 0,065x + 3,844\ \to\ 0,04x = 2,356\ \to\ \bf x = 58,9\ g\ M_1