Masa de un volumen de sangre a partir de su densidad

, por F_y_Q

La sangre humana tiene una densidad de 1,06\ g/mL a 25^oC. Calcula la masa, expresada en kg, que corresponde a un volumen de 1,2 L de sangre.

P.-S.

Si despejamos la masa de la ecuación de la densidad:
\rho = \frac{m}{V}\ \to\ m = \rho \cdot V
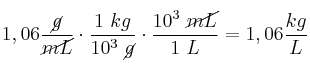
Antes de sustituir los datos debemos conseguir que las unidades sean homogéneas. Convertimos la densidad a kg/L para poder trabajar con el volumen dado y obtener la masa en kg:
1,06\frac{\cancel{g}}{\cancel{mL}}\cdot \frac{1\ kg}{10^3\ \cancel{g}}\cdot \frac{10^3\ \cancel{mL}}{1\ L} = 1,06\frac{kg}{L}
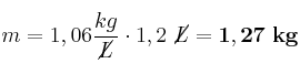
Ahora sí que podemos sustituir en la primera ecuación los valores:

m = 1,06\frac{kg}{\cancel{L}}\cdot 1,2\ \cancel{L} = \bf 1,27\ kg