Masa de un colchón de agua sabiendo sus dimensiones 0001

, por F_y_Q

Calcula la masa de un colchón de agua cuyas dimensiones son 2 m de largo, 3 m de ancho y 30 cm de alto. Considera que la densidad del agua es 1 kg/L.

P.-S.

En primer lugar debemos calcular el volumen del colchón, teniendo en cuenta que las unidades de longitud han de ser homogéneas:
V = 2\ m\cdot 3\ m\cdot 0,3\ m = 1,8\ m^3
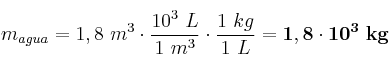
Si llenamos de agua el colchón harán falta esos 1,8 metros cúbicos. Si la densidad del agua el 1 kg/L necesitamos convertir el volumen a litros y considerar la densidad:

m_{agua} = 1,8\ m^3\cdot \frac{10^3\ L}{1\ m^3}\cdot \frac{1\ kg}{1\ L} = \bf 1,8\cdot 10^3\ kg