Masa de sulfato de sodio para obtener disoluciones molar, normal y formal (6892)

, por F_y_Q

Para obtener soluciones 1.25 M, 1.25 N y 1.25 F de \ce{Na2SO4} , ¿qué cantidad de sal se deberá tomar si el volumen de la solución requerida es de 250 mL?

Masas atómicas: Na = 23 ; S = 32 ; O = 16.

P.-S.

A partir de las definiciones de cada una de las formas de expresar las concentraciones debes conocer la masa molecular del sulfato de sodio:

\ce{Na2SO4} : 2\cdot 23 + 32 + 4\cdot 16 = 142\ \textstyle{g\over mol}

La masa para la disolución molar y formal es la misma porque ambas formas de expresar la concentración son equivalentes:

250\ \cancel{mL}\cdot \frac{1.25\ \cancel{mol}}{10^3\ \cancel{mL}}\cdot \frac{142\ g}{1\ \cancel{mol}} = \fbox{\color[RGB]{192,0,0}{\bf 44.4\ g\ \ce{Na2SO4}}}}


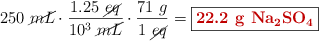
Para la disolución normal, teniendo en cuenta que la masa de un equivalente de \ce{Na2SO4} es la mitad de la masa molar:

250\ \cancel{mL}\cdot \frac{1.25\ \cancel{eq}}{10^3\ \cancel{mL}}\cdot \frac{71\ g}{1\ \cancel{eq}} = \fbox{\color[RGB]{192,0,0}{\bf 22.2\ g\ \ce{Na2SO4}}}}