Masa de sulfato de calcio necesaria para hacer una disolución

, por F_y_Q

Calcula cuántos gramos de sulfato de calcio serán necesarios para hacer 450\ cm^3 de una solución 0,03 M. Dato: la masa molecular del sulfato de calcio es de 136 g/mol.

P.-S.

Vamos a resolver este ejercicio de dos modos distintos, aunque equivalentes.

Primer modo.
Calculamos la masa de sulfato de calcio que equivale a los 0,03 mol que contendría un litro de la disolución deseada:
0,03\ mol\ CaSO_4\cdot \frac{136\ g}{1\ mol} = 4,08\ g\ CaSO_4
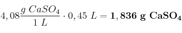
Ahora debemos saber qué masa necesitamos para los 450\ cm^3 que queremos preparar. El volumen ha de estar expresado en litros porque la concentración que hemos usado es molar y está referida a un litro:

4,08\frac{g\ CaSO_4}{1\ L}\cdot 0,45\ L = \bf 1,836\ g\ CaSO_4


Segundo modo
Primero calculamos los moles de sulfato de calcio que corresponden a los 450 mL, es decir, 0,45 L, sabiendo que se necesitan 0,03 mol por cada litro (que es la definición de 0,03 M):
0,45\ L\cdot \frac{0,03\ mol}{1\ L} = 1,35\cdot 10^{-2}\ mol\ CaSO_4
Ahora convertimos esos moles en masa:

1,35\cdot 10^{-2}\ mol\cdot \frac{136\ g}{1\ mol} = \bf 1,836\ g\ CaSO_4