Masa de soluto para preparar una disolución molar 0001

, por F_y_Q

Calcula la masa de soluto necesaria para preparar una disolución acuosa de 250 mL 0,015 M de ácido sulfúrico.

Datos: H = 1 ; S = 32 ; O = 16.

P.-S.

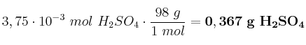
Para preparar nuestra disolución, que no es de un litro, debemos calcular los moles que necesitamos:
250\ mL\cdot \frac{0,015\ mol\ H_2SO_4}{10^3\ mL} =
3,75\cdot 10^{-3}\ mol\ H_2SO_4
La masa molecular del ácido es 2·1 + 1·32 +
4·16 = 98 g/mol. Convertimos los moles anteriores a masa:

3,75\cdot 10^{-3}\ mol\ H_2SO_4\cdot \frac{98\ g}{1\ mol} = \bf 0,367\ g\ H_2SO_4