Masa de soluto en un volumen de disolución 2 normal (7473)

, por F_y_Q

Una solución de \ce{MgCl2} tiene una normalidad de 2 N y un volumen de 230 mL. ¿Qué masa de \ce{MgCl2} habrá en la solución, expresada en gramos?

Masas atómicas: Mg = 24 ; Cl = 35.5

P.-S.

La normalidad es una forma de expresión de la concentración que tiene en cuenta los equivalentes de soluto en lugar de los moles del mismo. La relación entre moles y equivalentes tiene que ver con el número de cargas positivas que se obtienen al disociar la sal:

\color[RGB]{2,112,20}{\textbf{\ce{MgCl2 -> Mg^2+ + 2Cl^-}}}

Solo obtienes un catión que tiene carga (2+) por lo que la masa de un equivalente es la mitad de la masa molecular:

m_{\text{eq}} = \frac{(24\cdot 1 + 35.5\cdot 2)\ g}{2} = \color[RGB]{0,112,192}{\bf 47.5\ g}

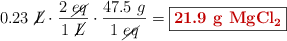
Solo tienes que aplicar la definición de normalidad al caso del volumen indicado en el enunciado pero, y es importante, expresado en litros:

0.23\ \cancel{L}\cdot \frac{2\ \cancel{eq}}{1\ \cancel{L}}\cdot \frac{47.5\ g}{1\ \cancel{eq}} = \fbox{\color[RGB]{192,0,0}{\textbf{21.9\ \ce{g\ MgCl2}}}}