Masa de sal obtenida tras la evaporación de un volumen de disolución (6148)

, por F_y_Q

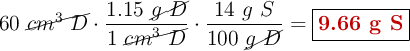
Una disolución de carbonato de potasio tiene una densidad de 1.15\ \textstyle{g\over cm^3} y una concentración del 14\ \% en masa. Calcula los gramos de sal que se obtienen por evaporación a sequedad de 60\ cm^3 de dicha disolución.

P.-S.

Si partes del volumen de disolución que tomas y evaporas, puedes convertirlo en masa de disolución y luego en masa de sal. Para ello, aplicas dos factores de conversión que son la densidad de la disolución y su concentración:

60\ \cancel{cm^3\ D}\cdot \frac{1.15\ \cancel{g\ D}}{1\ \cancel{cm^3\ D}}\cdot \frac{14\ g\ S}{100\ \cancel{g\ D}} = \fbox{\color[RGB]{192,0,0}{\bf 9.66\ g\ S}}