Masa de nitrato de plata en disolución molar 0001

, por F_y_Q

Determina la masa de soluto para preparar 100 mL de una solución de 0,1 M de AgNO_3

P.-S.

Necesitamos 0,1 mol de nitrato de plata para preparar 1 L de disolución (es lo que significa 0,1 M). Pero solo vamos a preparar 0,1 L, que son los 100 mL:

0,1\ L\cdot \frac{0,1\ mol}{1\ L} = 10^{-2}\ mol


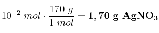
La masa molecular del AgNO_3 es: 108·1 + 14·1 + 16·3 = 170 g/mol.
La masa que necesitamos es:

10^{-2}\ mol\cdot \frac{170\ g}{1\ mol} = \bf 1,70\ g\ AgNO_3