Masa de materia necesaria para acelerar la Enterprise (7100)

, por F_y_Q

La nave estelar ficticia Enterprise obtiene su energía combinando materia y antimateria, logrando una conversión completa de masa en energía. La energía contenida en una cantidad de materia de masa m viene dada por la ecuación de Einstein (E  = m\cdot c^2), donde c es la velocidad de la luz (c = 3\cdot 10^8\ \textstyle{m\over s}).

a) Si la masa de la Enterprise es de aproximadamente 5\cdot 10^9\ kg, ¿cuánta masa de materia se debe convertir en energía cinética para acelerar la nave del reposo a 0.1 c?

b) ¿Cuánta masa de materia debe convertirse en energía cinética para acelerar un avión comercial de 2\cdot 10^5\ lb del reposo a 600\ \frac{mi}{h} ?

P.-S.

En ambos apartados debes calcular la energía cinética para acelerar las naves desde el reposo. Ese cálculo lo haces usando la ecuación de la energía cinética. Luego igualas el valor calculado a la energía asociada con la masa según Einstein y despejas.

a) \left E_C = \frac{M}{2}\cdot \Delta v^2\ \atop E = m\cdot c^2 \right \}\ \to\ m = \frac{M\cdot v^2}{2c^2}

Sustituyes y calculas el valor de la masa:

m = \frac{5\cdot 10^9\ kg\cdot 0.01\cancel{c^2}}{\cancel{c^2}} = \fbox{\color[RGB]{192,0,0}{\bm{2.5\cdot 10^7\ kg}}}


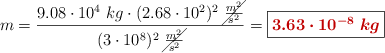
b) Haces un planteamiento análogo al anterior y resuelves, pero cuidando de la unidades.

2\cdot 10^5\ \cancel{lb}\cdot \frac{0.454\ kg}{1\ \cancel{lb}} = \color[RGB]{0,112,192}{\bm{9.08\cdot 10^4\ kg}}

600\ \frac{\cancel{mi}}{\cancel{h}}\cdot \frac{1\ 609\ m}{1\ \cancel{mi}}\cdot \frac{1\ \cancel{h}}{3\ 600\ s} = \color[RGB]{0,112,192}{\bm{2.68\cdot 10^2\ \frac{m}{s}}}

Ya puedes hacer el cálculo pedido:

m = \frac{9.08\cdot 10^4\ kg\cdot (2.68\cdot 10^2)^2\ \cancel{\frac{m^2}{s^2}}}{(3\cdot 10^8)^2\ \cancel{\frac{m^2}{s^2}}} = \fbox{\color[RGB]{192,0,0}{\bm{3.63\cdot 10^{-8}\ kg}}}