Masa de glucosa necesaria para una disolución 0,2 molar

, por F_y_Q

¿Qué cantidad de glucosa, C_6H_{12}O_6, se necesita para preparar 100 cm^3 de una solución 0,2 molar?
Masas atómicas: H = 1 ; C = 12 ; O = 16.

P.-S.

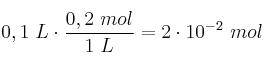
Para preparar 0,1 litro (que son los 100 cm^3 del enunciado) de solución, necesitaremos:
0,1\ L\cdot \frac{0,2\ mol}{1\ L} = 2\cdot 10^{-2}\ mol
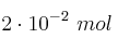
Solo necesitamos 2\cdot 10^{-2}\ mol de glucosa para hacer nuestra solución. La masa molar de la glucosa es:
C_6H_{12}O_6 = 6\cdot 12 + 12\cdot 1 + 6\cdot 16 = 180\ g\cdot mol^{-1}

2\cdot 10^{-2}\ mol\cdot \frac{180\ g}{mol} = \bf 3,6\ g